next up previous
Next: Optimal Control Problem Up: Optimum Design of Previous: Introduction

Single-Sideband Phase Noise

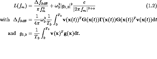
The single-sideband phase noise of free running oscillators can be calculated by solving Eq. (gif) and using a perturbation approach (Kärtner [gif])

 

The first term on the right hand side of Eq. (gif) describes the phase noise caused by the white noise sources. is the left-sided eigenvector of the eigenvalue 1 of the fundamental matrix . The matrix denotes the correlation matrix of the white noise sources. The second term of Eq. (gif) describes the phase noise caused by the baseband noise. The factor characterizes the upconversion of the baseband noise to the carrier frequency . The modulation of the noise source due to the oscillation is taken into account as well as the upconversion of the baseband noise caused by the nonlinearities in the circuit. The factor c is derived from baseband noise measurements. is the offset frequency where the single-sideband phase noise is to be calculated. The functions and depend on the design parameters of the circuit (e.g., capacitors and inductors of the linear network) by the system of 2 n nonlinear differential equations derived from (gif)

  

and 2n+1 boundary conditions

 



Oskar von Stryk
Mon Aug 19 10:27:50 MET DST 1996